Humedad Relativa
Humedad Relativa
La humedad relativa (hr), es un término utilizado para expresar la cantidad de humedad en una muestra dada de aire, en comparación con la cantidad de humedad que el aire tendría, estando totalmente saturado y a la misma temperatura de la muestra. La humedad relativa se expresa en porciento, tal como 50%, 75%, 30%, etc.
De acuerdo a la ASHRAE, una definición más técnica de la hr, sería la relación de la fracción mol del vapor de agua presente en el aire, con la fracción mol del vapor de agua presente en el aire saturado, a la misma temperatura y presión.
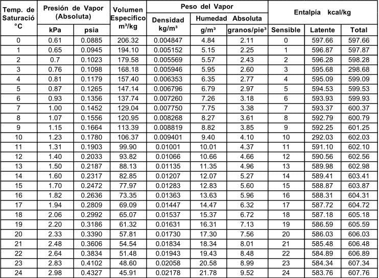
Volviendo a nuestro ejemplo, para comprender mejor el significado de humedad relativa, decíamos que el vapor de agua a 15 o C estaba saturado, y a 21 o C estaba sobrecalentado. Para conocer la humedad relativa del aire en el cuarto a 21 o C, se puede calcular usando los valores de la densidad del vapor de agua saturado (15 o C) y la del vapor de agua sobrecalentado (21 o C), que en este caso sería 0.01834 kg/m³ (de la tabla 13.3).
hr = 0.01283 ÷ 0.01834 x 100 = 69.95%
Esto significa que en el espacio del cuarto a 21 o C, la humedad es el 69.95% de la que tendría si estuviera en condiciones de saturación. Este porcentaje es la "humedad relativa".
El otro método para calcularla, es utilizando los valores de la presión del vapor, en lugar de los de la densidad. Es más preciso y es el que se recomienda utilizar; ya que la presión de vapor, es la que realmente determina la velocidad de la evaporación, y por lo tanto, en el acondicionamiento de aire es lo que directamente afecta el confort, la conservación de alimentos y la mayoría de los demás procesos.
La presión del vapor de agua saturado a 21 o C, es 2.48 kPa, y la del vapor de agua sobrecalentado es de 1.70 kPa; ya que su presión de vapor es la misma que tenía a 15 o C, no aumentó al ser sobrecalentado.
La humedad relativa será:
hr = 1.70 ÷ 2.48 x 100 = 68.55%
Este resultado es algo diferente que el cálculo utilizando las densidades del vapor, pero es más preciso. La diferencia no afecta en la mayoría de los cálculos de aire acondicionado.


